sexta-feira, 20 de dezembro de 2024

Fórmula de Heron

A fórmula de Heron é uma ferramenta matemática útil para encontrar a área de um triângulo quando se conhecem os comprimentos de todos os seus lados. Ao contrário das fórmulas que requerem a altura ou um ângulo específico, a fórmula de Heron utiliza apenas os três lados do triângulo.

A fórmula de Heron afirma que a área de um triângulo com lados a, b e c é dada por:
Onde p é o semiperímetro do triângulo, definido como:

Exercícios

 Qual é a área do triângulo abaixo?


Resolução:

 Fazendo:

a = 10 cm

b = 17 cm

c = 21 cm

 Usando a fórmula de Heron:



• Reordenando os números:


2 – Determine a área do triângulo isósceles da figura.
Resolução:

• Fazendo:

a = 10 cm

b = 10 cm

c = 12 cm

 Usando a fórmula de Heron:



3 – Qual é a área do triângulo da figura?

Resolução:

• Fazendo:

a = 5 cm

b = 6 cm

c = 7 cm

 Usando a fórmula de Heron:

ou

Como:


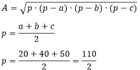
 Qual é a área do triângulo abaixo?

Resolução:

• Fazendo:

a = 20 mm

b = 40 mm

c = 50 mm

 Usando a fórmula de Heron:


• Reordenando os números:



Como:

5 – Qual é a área do triângulo abaixo?

Resolução:

• Fazendo:

a = 9 cm

b = 10 cm

c = 11 cm

 Usando a fórmula de Heron:






6 – Calcular a área de um terreno na forma triangular, conforme a figura, usando a fórmula de Heron.

Resolução:

• Fazendo:

a = 78 m

b = 84 m

c = 90 m

 Usando a fórmula de Heron:


Onde p é o semiperímetro do triângulo:

• Fatorando os números 126, 48 e 42:


• Reordenando os números:



Nenhum comentário:

Postar um comentário