quarta-feira, 27 de novembro de 2024

Derivadas parciais

As derivadas parciais são um conceito fundamental no cálculo multivariado, utilizado para analisar funções que dependem de várias variáveis independentes. Elas representam a taxa de variação de uma função em relação a uma de suas variáveis, mantendo as outras constantes.

Definição:

Dada uma função f(x,y,...) de várias variáveis, a derivada parcial de f em relação à variável x é denotada por ∂f/∂x e é definida como:

Interpretação:

A derivada parcial ∂f/∂x representa a taxa de variação da função f em relação à variável x, mantendo as outras variáveis constantes. Em outras palavras, é a taxa de variação da função ao longo da direção x.

Exemplos:

1 - Seja f(x, y) = x2y + 3xy2

 Para calcular em relação a y, tratamos x como uma constante:

2 - Se f(x, y, z) = x2y + z3, então:


Notação

Além de ∂f/∂x, é comum usar a notação fx e fy para as derivadas parciais.

Aplicações

Derivadas parciais são usadas em diversas áreas, como:

  • Otimização: Encontrar máximos e mínimos de funções de várias variáveis.
  • Equações diferenciais parciais: Modelar fenômenos físicos, como a propagação de calor ou ondas.
  • Economia: Analisar funções de produção e utilidade.
Exercícios
1 - Dada a função f(x, y) = 2x + y2, encontrar as derivadas parciais de primeira ordem, com respeito às variáveis x e y.

Resolução:


2 - Encontrar as derivadas parciais de primeira ordem da função de duas variáveis f(x, y) = 2xy2.

Resolução:

3 - Dada a função f(x, y) = 2x + 5y2, obtenha:

Resolução:
a)


b)

c)

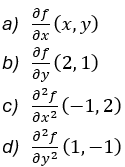
4 - Considere a função f(x, y) = 5x2 +y4 – 2xy3, obtenha:


Resolução:







Nenhum comentário:

Postar um comentário