Uma inequação exponencial é uma desigualdade que envolve uma variável no expoente. Essas inequações são importantes em várias áreas da matemática e são frequentemente encontradas em problemas de crescimento e decaimento exponencial, bem como em aplicações práticas como a modelagem de populações, finanças e física.
Passos básicos para resolver inequações
exponenciais:
- Identifique
a inequação exponencial: Normalmente, ela terá a
forma ax > b, ax < b, ax ≥ b ou ax
≤ b, onde a e b são constantes, e x é a variável.
- Isolar
o termo exponencial: Tente deixar a expressão na forma ax
sozinha em um dos lados da inequação.
- Utilize
logaritmos: Para resolver a inequação, você pode
aplicar logaritmos dos dois lados da inequação. Isso permitirá que você
"traga o expoente para baixo" e trabalhe com uma inequação
linear ou polinomial.
Exemplo:
Para a inequação 2x > 5, você pode
aplicar logaritmos (usando base 2 ou logaritmo natural):
log (2x) > log (5)
x⋅log (2) > log (5)

Fazendo uma mudança de base:
Considere a base do expoente: Se a base a é maior que 1, a função exponencial é crescente, então a direção da desigualdade permanece a mesma ao tomar logaritmos. Se a base aa está entre 0 e 1, a função exponencial é decrescente, então a direção da desigualdade se inverte ao tomar logaritmos.
- Resolva
a inequação resultante: Depois de aplicar os logaritmos,
resolva a inequação para a variável x.
Exemplo prático:
- Primeiro,
reconhecemos que 9 pode ser escrito como 32:
32x ≤ 32
- Como
as bases são iguais, podemos comparar os expoentes:
2x ≤ 2
- Dividindo
ambos os lados por 2:
x ≤ 1
Portanto, a solução para a inequação é x ≤ 1.
Resumindo:
1 – Qual é a solução da inequação exponencial:
Resolução:
S = {x ∈ ℝ| x > 2}
2 – Resolva a inequação exponencial 2x ≥ 128.
Resolução:
2x ≥ 128
Fatorando o número 128:
2x ≥
27 ∴ x ≥
7
S = {x ∈ ℝ| x ≥ 7}
3 – Resolva as inequações exponenciais em ℝ:
(2- 1)x + 1 ≥ (22)x + 3
2 - x - 1 ≥
22x + 6 ∴ –
x – 1 ≥
2x + 6
– x – 2x ≥ 6 + 1 ⇒ –
3x ≥
7 X(– 1)
4 – Resolva a inequação exponencial:
Resolução:
∴ – 6x + 15 ≤ – 3x – 3
– 6x + 3x ≤
– 3 – 15
– 3x ≤
– 18 X(– 1)
3x ≥ 18
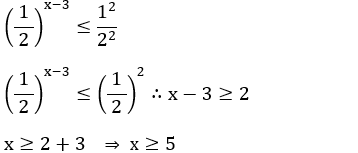
5 – Resolva a inequação exponencial:
6 – O conjunto solução da inequação
é:
a)( – ∞;
5]
b) [5; + ∞)
c) [– 5; + ∞)
d) [4; + ∞)
e) (– ∞; – 5]
Resolução:
S = {x ∈ ℝ| x ≥ 5} ou S = [5; + ∞)









.
, a melhor aproximação é e a letra (D):