A divisão de polinômios é um conceito fundamental na
álgebra que se assemelha bastante à divisão de números. Ela envolve dividir um
polinômio (o dividendo) por outro (o divisor) para obter um quociente e, em
alguns casos, um resto.
Imagine que você tem um polinômio P(x) e deseja dividi-lo
por um outro polinômio D(x). O objetivo é encontrar dois polinômios: o
quociente Q(x) e o resto R(x), de forma que a seguinte igualdade seja válida:
P(x) = Q(x)⋅D(x) + R(x)
Aqui estão algumas características importantes:
- O
grau do resto R(x) deve ser menor que o grau do divisor D(x).
- Se
o resto for zero, isso significa que D(x) é um divisor exato de P(x).
A divisão de
polinômios pode ser feita por diferentes métodos, como o método de chaves, o
método de Descartes e o dispositivo prático de Briot-Ruffini.
O dispositivo
prático de Briot-Ruffini é uma ferramenta mecânica usada para a realização de
operações de divisão de polinômios, em particular, para encontrar o quociente e
o resto de uma divisão de polinômios. Desenvolvido pelos matemáticos franceses
Briot e Ruffini no século XIX, ele é uma versão prática do método algébrico que
hoje é conhecido como o método de divisão sintética.
A principal
aplicação desse dispositivo é facilitar a resolução de divisões de polinômios
de maneira mais rápida e eficiente, sendo bastante útil no ensino de álgebra. O
método permite que se dividam polinômios de forma simplificada, com uma redução
do número de operações necessárias, evitando o uso de longas fórmulas e
cálculos tradicionais.
Exemplo:
Vamos dividir
polinômio P(x) = x³ − 3x² + 5x – 6 pelo divisor D(x) = x − 2.

Passos:
- Divida o termo de maior grau de P(x) pelo termo de maior grau de D(x):
(x³ − 3x² + 5x − 6) − (x³ − 2x²) = − x² + 5x – 6
3. Agora, divida o termo de maior grau do novo polinômio pelo termo de maior grau de D(x):

Este é o próximo termo do quociente.
4. Multiplique − x por D(x) e subtraia:
(− x² + 5x − 6) − (− x² + 2x) = 3x − 6
5. Repita o processo:
(3x − 6) − (3x − 6) = 0
Resultado: O quociente é Q(x) = x² − x + 3 e o resto é R(x) = 0. Isso significa que P(x) é divisível por D(x) sem deixar resto.
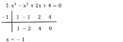
1 - Qual é o resto da divisão do polinômio x³ – 6x² + 11x – 6 por x – 2?

2 - (CPACN) Sejam as funções f e g, definidas por f(x) = x⁶ – 2x⁵ – x⁴ + 10x³ – 16x² – 8x + 16 e g(x) = x³ – x² – 4x + 4. A soma dos valores inteiros que satisfazem a desigualdade
é igual a:
a) – 2
b) – 1 c)
0 d) 1 e)
2
Resolução:
• Primeiramente, vamos calcular o quociente, lembrando da condição de existência:
x³ – x² – 4x + 4 ≠ 0
x2⋅(x – 1) – 4⋅(x – 1) ≠ 0
(x – 1)⋅(x2 – 4) ≠ 0
x – 1 ≠ 0 ⇒ x ≠ 1
e
x2 – 4 ≠ 0 ⇒ x2 ≠ 4
x ≠ 2 e x ≠ – 2
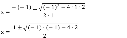
• Usando a fórmula de Bhaskara:
• Usando a fórmula de
Bhaskara:
(Não inteiro)
• Soma: S = – 1 + 0 = – 1
• Resposta: Letra B
Nenhum comentário:
Postar um comentário