quinta-feira, 23 de maio de 2024

Matrizes

1 - Escrever a matriz A, sendo: 

Resolução:

A matriz 2X3 será do tipo:



Calculado os valores dos elementos dessa matriz:


Logo:

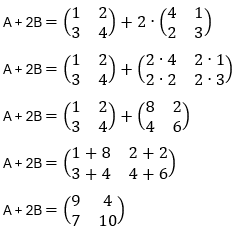
2 – Dadas as matrizes A e B, sendo:



Calcular:

a) A + Bt              b)  A + 2B         c) A・B

Resolução:

a)


b)

c)


3 - Sejam as matrizes A, B e C:


O valor de A + B⋅C é:


Resolução:








4 – Calcule os valores de x e y, sabendo que:

Resolução:

Com isto vamos ter:






Somando as duas equações:

Substituindo o valor de x na primeira equação:

Solução: x = 3 e y = 4

Com isto vamos ter:


Resolvendo o sistema de equações:

Isolando x na equação (1):


Substituindo (3) em (2):


Substituindo o valor de y em (1):

Resposta: x = 4 e y = – 2


Nenhum comentário:

Postar um comentário