quinta-feira, 21 de janeiro de 2016

Conceitos básicos: Fluidos e Hidrostática

Posted: 15 Jan 2016 10:50 AM PST
A hidrostática é um dos assuntos da física mais cobrados em diferentes vestibulares do país e sempre está presente no Enem, então, que tal dar uma olhada nos conceitos básicos?
Os fluidos são substâncias que podem escoar, como gases e líquidos, eles assumem a forma do recipiente em que são colocados devido ao fato de que eles não resistem a uma força paralela à sua superfície.
Mas antes de começarmos falar sobre algumas leis e princípios dessa frente da física, precisamos dar uma olhada em alguns conceitos básicos. Vamos lá?

Massa específica (μ)

A massa específica é definida como a quantidade de massa da substância contida em um volume unitário, ou seja:
fluidos1
A unidade de μ no Sistema Internacional (SI) é kg/݉m3m é a massa da substância e V é o volume correspondente.

Densidade (d)

A densidade de um é dada pela razão entre a sua massa e o volume ocupado pelo corpo.
fluidos2
A unidade de densidade no Sistema Internacional (SI) é kg/݉m3.
Além da unidade kg/m3 é comum encontrar em kg/l, g/c݉m3 e g/ml tanto para massa específica como para densidade.
Se o corpo analisado for um corpo maciço e homogêneo a massa específica será igual à densidade, em casos como esse a massa específica do corpo é chamada de densidade.

Pressão

A pressão é dada pela razão entre a força aplicada perpendicularmente à superfície e a área em que ela é distribuída, é uma grandeza física escalar.
fluidos3

A unidade no SI para pressão é N/m2 que também pode ser chamada de Pascal (Pa).
Relações importantes para unidades de pressão:


fluidos4

Pressão atmosférica (p0)

A pressão atmosférica é a pressão exercida por uma mistura de gases que compõem a atmosfera sobre toda a superfície da Terra. O barômetro é o instrumento que mede a pressão atmosférica em determinado local. A 0°C e com gravidade de 9,8 m/s2 a pressão atmosférica vale 1 atm (1 atm = 1,01 ∙ 105 Pa). A pressão atmosférica varia com a altitude, quanto maior a altitude, menor é a pressão medida pelo barômetro.

O post Fluidos / Hidrostática – Conceitos básicos apareceu primeiro no infoEnem.

quinta-feira, 14 de janeiro de 2016

A detecção das ondas gravitacionais

No dia 11 de fevereiro de 2016 foi anunciado nos Estados Unidos, por pesquisadores do projeto LIGO (Laser Interferometer Gravitational-Wave Observatory)  em português: Observatório de Ondas Gravitacionais por Interferômetro Laser, a detecção das ondas gravitacionais a partir do sinal encontrado às 09 h 51 min de 14 de setembro de 2015, prevista pelo genial físico alemão Albert Einstein na sua Teoria Geral da Relatividade publicada em 1905.

Um evento ocorrido cerca de 1,3 bilhões de anos-luz da Terra, causadas por um par de buracos negros com 30 massas solares em processo de fusão, produziram ondas gravitacionais de altas energias que só agora foram detectadas, confirmando as "distorções no espaço e no tempo".

Dois buracos negros orbitando entre si
http://www.black-holes.org/gw150914
Início da fusão dos buracos negros
 http://www.black-holes.org/gw150914


Unificação dos buracos negros
 http://www.black-holes.org/gw150914
Buraco Negro é uma região do espaço onde o campo gravitacional é tão forte que nada sai dessa região, nem a luz; daí vermos negro naquela região. Matéria (massa) é que "produz" campo gravitacional a sua volta.





                                                                 Vídeo em destaque
 
LIGOConsiste em duas instalações idênticas localizadas perto de Richland, no estado de Washington e outro na Reserva Nuclear Hanford, Louisiana, nos Estados Unidos. Os dois locais estão separados por 3 002 quilômetros.




quarta-feira, 13 de janeiro de 2016

Ondas: Definição e classificação

Posted: 28 Dec 2015 10:58 AM PST
Dedicamos este artigo às ondas, pois elas estão presentes em tudo ao nosso redor. A luz que está saindo agora de seu computador, celular ou tablet, por exemplo, é uma forma de onda. O som também é uma onda, assim como várias outras situações de nosso cotidiano.
Algumas delas, como as de rádio, não são perceptíveis ao nosso olhar, porém podemos notar a sua existência ao observar a superfície de um lago ou rio, quando atiramos uma pedra.
Deste modo, a onda irá se propagar do ponto onde a pedra tocou o lago e sofrerá alterações quando encontrar algum obstáculo, como a margem do rio, por exemplo.
Durante sua propagação, percebemos que a água irá oscilar, fazendo um movimento similar ao exibido na ilustração abaixo:
dispersao_onda

A imagem nos mostra a oscilação em um comprimento de onda. O ponto referente a amplitude máxima positiva é conhecido como crista e o referente a amplitude máxima negativa é o vale da onda. Veremos também que este comprimento de onda pode ser menor ou maior, dependendo de suas propriedades, mas esse não é nosso foco neste artigo. Por enquanto, trataremos apenas sobre sua classificação. Normalmente, as ondas são classificadas segundo três critérios, que são: Quanto a sua natureza, direção de propagação e formato.
Quanto a sua natureza, as ondas podem ser mecânicas ou eletromagnéticas. As ondas mecânicas são aquelas que precisam de um meio material para se propagar, assim seu movimento está associado ao transporte de energias, como a cinética e potencial, não sendo propagáveis no vácuo. O som e a pedra no lago mencionadas anteriormente são exemplos de ondas mecânicas. Já as ondas eletromagnéticas são aquelas formadas através de cargas elétricas que oscilam, podendo se propagar tanto em meios materiais como no vácuo. As ondas de rádio e dos micro-ondas são os exemplos mais comuns de ondas eletromagnéticas em nosso dia-a-dia.
Considerando a sua direção de propagação, classificamos as ondas em: unidimensionais, bidimensionais ou tridimensionais. As ondas unidimensionais propagam-se em um único sentido, como quando sacudimos uma corda por exemplo. As ondas bidimensionais, como no exemplo da pedra atirada no lago, se propagam em duas direções diferentes; enquanto as ondas tridimensionais não possuem restrição de movimento, podendo se propagar em todos os sentidos. A luz e o som são exemplos de ondas tridimensionais.
Por fim, podemos classificar as ondas conforme o seu formato, também conhecido como sentido de vibração, podendo ser longitudinais ou transversais. As ondas transversais possuem seu sentido de propagação perpendicular ao movimento. Podemos ilustrar as ondas transversais novamente com o exemplo da pedra atirada no lago. Neste caso, a vibração ocorre no sentido vertical, enquanto a onda se propaga na horizontal. Ainda temos as ondas longitudinais, nas quais a vibração ocorre no mesmo sentido de sua propagação, como acontece na vibração de uma mola.
Adiante aprofundaremos os conceitos de onda, bem como ilustraremos outras propriedades importantes de conteúdo de Física.

O post Ondas: Entenda Sua Definição e Classificações apareceu primeiro no infoEnem.

domingo, 10 de janeiro de 2016

Calor e temperatura - Escalas termométricas.

Posted: 04 Jan 2016 01:30 AM PST
No artigo de hoje, analisaremos dois conceitos fundamentais na termodinâmica, o calor e a temperatura. Estes dois conceitos, embora sejam totalmente diferentes, muitas vezes são confundidos. Assim, seu entendimento é fundamental para a continuidade do estudo da termodinâmica, assunto da disciplina de Física.
O calor pode ser definido como uma forma de transferência de energia entre dois corpos. A energia transferida é sempre externa ao corpo, e flui do mais quente para o mais frio. Sua unidade no Sistema Internacional (SI) é o joule (J).
Já a temperatura é associada a energia cinética das moléculas, ou seja, ao grau de agitação das mesmas. É possível medir a temperatura de um corpo ou objeto com o auxílio de um termômetro, que fornecerá o seu resultado em uma escala, sendo as principais a escala Celsius (°C), Fahrenheit (°C) e Kelvin (K).
A escala Celsius é a mais utilizada no Brasil e na maior parte dos países, foi apresentada em 1742, sendo seus pontos de referência o ponto de congelamento da água (0°C) e seu ponto de ebulição (100°C), medidos a pressão de 1 atmosfera.
A escala Kelvin se trata da escala dos padrões internacionais. Foi instituída por Lorde Kelvin e apresenta a mesma graduação que a escala Celsius, porém sua referência inicial é a temperatura de menor agitação das moléculas, conhecida como zero absoluto, sendo que K equivale a - 273°C.
A escala Fahrenheit, criada em 1708, é utilizada principalmente em países de língua inglesa e possui como referências a temperatura de uma mistura de gelo e amônia, além da temperatura do corpo humano.
Conhecidas as três escalas, é fundamental saber fazer a conversão entre elas, já que muitas vezes não possuímos os valores nas escalas desejadas durante a realização de um exercício, por exemplo.
Utilizando os pontos de fusão e ebulição da água como referência, temos que:

escala

Podemos utilizar a interpolação para obter uma relação entre as escalas, utilizando uma temperatura intermediária entre os pontos de referência utilizados. Assim:
escala1
Percebemos então que as escalas Celsius e Kelvin possuem a mesma graduação, sendo apenas o seu referencial inicial diferente. Com a utilização das equações acima, também se torna possível obter qualquer temperatura em ambas as escalas, de maneira rápida e eficaz. Além disso, utilizar a interpolação torna possível a transformação de qualquer temperatura em qualquer escala, sendo necessário apenas o conhecimento de seus pontos de referência. Com isso, temos um dos pilares fundamentais para que seja possível avançar nos estudos da termodinâmica.

Exercícios com progressão geométrica

1 - Calcule o 5º termo da PG (1, 5, ...).

a) 25          b) 125          c) 225          d) 625

2 - Qual é o 7º termo da PG (2, 6, ...)?
a) 1 458
b) 1 584
c) 2 225
d) 3 625

3 - Obtenha o sexto termo da P. G. (7, 14, ...).

4 - Em uma PG, o quarto termo é 128 e a sua razão é 4. Encontre o primeiro termo dessa PG.

5 - Qual é o 6º termo da PG: 1, 3, 9, ...?

a) 81          b) 729          c) 243          d) 27

6 – Determinar o sétimo termo da PG: 3, 9, 27, ...

7 - Em uma PG, o primeiro termo é 4 e o quarto termo é 4000. Qual é razão dessa PG? 

8 - Inserir dois meios geométricos reais entre – 3 e 24.

9 - Qual deve ser o valor de x para que a sequência (x – 3, x, x + 6) seja uma progressão geométrica?

a) – 6
b) 6
c) 7
d) 5,5
e) 0

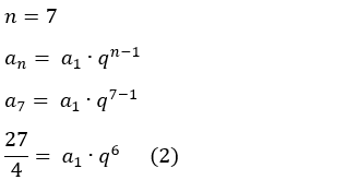
10 - Determine a razão q da PG na qual o 2º termo vale 12 e o 5º termo vale 324.

11 - Numa P. G. crescente, o quinto termo é 810 e o terceiro termo é 90. Calcule sua razão e o primeiro termo dessa progressão geométrica.

12 - Considere a PG: 2, 6, 18, 54, ... Encontre o seu 10º termo.

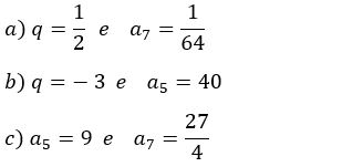
13 – Determinar o número de termos das seguintes progressões geométricas:

14 - Determinar o primeiro termo de cada progressão geométrica, dados:

15 – Calcule três números em PG crescente, de tal forma que a sua soma é 7 e o produto é 8.

16 – Calcule três números em PG crescente, de tal forma que a sua soma é 13 e o produto é 27.

17 – Numa PG, a1 = 2 e a= 486. Calcule a razão dessa PG.

18  Calcule o 6º termo da PG (6, 12, ...).

19 - Numa PG, a1 = 3 e a8 = 384. Calcule a razão dessa PG.


Respostas

1) Resolução:



Cálculo da razão:


Cálculo do 5º termo:


2) Resolução:


Cálculo da razão:

Cálculo do 7º termo:

3) Resolução:


Cálculo da razão:

Cálculo do sexto termo:

4) Resolução:


5) Resolução:

Cálculo da razão:

Cálculo do sexto termo:


6) Resolução:


Cálculo da razão:



Fazendo n = 7:




7) Resolução:

8) Resolução:

(– 3, __ , __ , 24)


 
Podemos escrever:

Calculo do segundo termo:


Calculo do terceiro termo:

Resposta: (– 3, 6, – 12, 24)


9) Resolução:

Cálculo da razão:


10) Resolução:

Substituindo (1) em (2):


11) Resolução:


Fazendo n = 3:


Fazendo n = 5:

Dividindo (2) por (1):


q = 3        (P.G. crescente)

Cálculo do primeiro termo:


Resposta: A razão é 3 e o seu primeiro termo é 10.

12) Resolução:

Cálculo da razão:



13) Resolução:



Fatorando 512:

Resposta: essa progressão geométrica tem 8 termos.




Fatorando 81:


Resposta: essa progressão geométrica tem 4 termos.





Fatorando 32 e 64:

Resposta: essa progressão geométrica tem 11 termos.


14) Resolução:








Fazendo n = 5:

Fazendo n = 7:

Dividindo (2) por (1):



Para:


Substituindo q em (1):



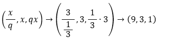
15) Resolução:

Seja a progressão:


Substituindo x em 1:

Multiplicando (3) por q:

Usando a fórmula de Bhaskara para calcular o valor de q:

a = 2,     b = 5   e   c = 2

Para q = 1 e x = 2:


Para q = 2 e x = 2:

Como a PG é crescente:

Resposta:(1, 2, 4)

16) Resolução:

Seja a progressão:

Substituindo x em (1)

Multiplicando (3) por q:

Usando a fórmula de Bhaskara para calcular o valor de q:

a = 3,     b = – 10   e   c = 3

Para q = 1/3 e x = 3:


Lembrando que:

Como a PG é crescente:

Resposta: (1, 3, 9)

17) Resolução:

Dados:

= 2

n = 6

Fatorando o número 243:

18) Resolução:

Cálculo da razão:


Cálculo de a6:


19) Resolução:


Fatorando o número 128: