A função do segundo grau, também chamada de quadrática, possui a lei de formação do tipo:
y = f(x)
f(x) = ax² + bx + c
ou
y = ax² + bx + c

Para determinarmos os vértices de uma parábola temos que encontrar o par ordenado (xv , yv) pontos que constituem as coordenadas do vértice da parábola. Esses valores são calculados com base nas expressões matemáticas envolvendo os coeficientes dessa unção quadrática:
A concavidade da parábola:
Ponto de máximo e ponto de mínimo da função quadrática
Exercícios
1 - Determine
as coordenadas do vértice da função quadrática y = x2 + 2x – 3.
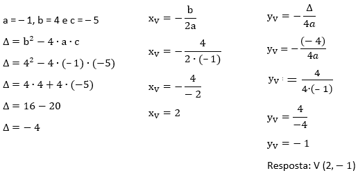
2 – Quais são as coordenadas do vértice da função quadrática y = – x2 + 4x – 5.
Resolução:
3 – Verifique
se a função quadrática y = 5x2 – 8x + 3 tem ponto de máximo ou ponto
de mínimo e dê suas coordenadas.
Resolução:






Nenhum comentário:
Postar um comentário