quarta-feira, 31 de julho de 2024

Probabilidade

A probabilidade de um evento A ocorrer é a razão entre o número de resultados favoráveis e o total de resultados possíveis em um espaço amostral equiprovável.

Fórmula do cálculo de probabilidade:





Exercícios

1 - Qual a probabilidade de obter a face “cara” no lançamento de uma moeda?

Resolução:

Número de casos favoráveis: 1

Número total de casos possíveis: 2






2 - Um dado simples é lançado.

a) Qual é a probabilidade de sair o número 1?

b) Qual é a probabilidade de sair um número par (2, 4 ou 6)? E dum número impar?

Resolução:

a) Número de casos favoráveis: 1

Número total de casos possíveis: 6







b) Pares

Número de casos favoráveis (2, 4, 6): 3 casos

Número total de casos possíveis: 6







Ímpares

Número de casos favoráveis (1, 3, 5): 3 casos

Número total de casos possíveis: 6




3 - Qual a probabilidade de “sortear” uma vogal entre todas as letras do alfabeto?

a) 21/26

b) 5/26

c) 1/21

d) Nenhumas delas

Resolução:

Número de casos favoráveis: 5 (São 5 vogais)

Número total de casos possíveis: 26 letras




4 - Um número entre 1 e 11 é escolhido ao acaso. Qual a probabilidade de sair um número múltiplo de 3?

a) 2/11

b) 3/11

c) 5/11

d) Nenhumas delas

Resolução:

Número de casos favoráveis (3,6,9): 3 casos

Número total de casos possíveis: 11




5 - Se lançarmos dois dados ao mesmo tempo, qual a probabilidade de dois números iguais ficarem voltados para cima?

Resolução:

Número de casos favoráveis (1,1), (2,2), (3,3), (4,4), (5,5) e (6,6): 6 casos

Número total de casos possíveis: 36

(1,1)  (1,2)  (1,3)  (1,4)  (1,5)  (1,6)

(2,1)  (2,2)  (2,3)  (2,4)  (2,5)  (2,6)

(3,1)  (3,2)  (3,3)  (3,4)  (3,5)  (3,6)

(4,1)  (4,2)  (4,3)  (4,4)  (4,5)  (4,6)

(5,1)  (5,2)  (5,3)  (5,4)  (5,5)  (5,6)

(6,1)  (6,2)  (6,3)  (6,4)  (6,5)  (6,6)





6 - (PUC-RIO 2007) A probabilidade de um dos cem números 1, 2, 3, 4, ..., 100 ser múltiplo de 6 e de 10 ao mesmo tempo é:


a) 3%
b) 6%
c) 2%
d) 10%
e) 60%

Resolução:

Número de casos favoráveis (30, 60, 90): 3 casos

Número total de casos possíveis: 100




terça-feira, 9 de julho de 2024

Movimento uniformemente Variável

1 – Um móvel em movimento tem velocidade que obedece à função V = 3 + 5t (no SI).  Determine a velocidade inicial e a aceleração desse móvel.

Resolução:

Comparando a função dada com a função geral da velocidade:

        

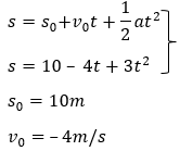
2 – A função horária das posições de um móvel é dada por s =10 – 4t + 3t², no SI. Determine sua posição inicial, velocidade inicial e aceleração.

Resolução:

Comparando a função dada com a função geral das posições:


 

 


3 – A velocidade de um móvel varia uniformemente de 20 m/s para de 40 m/s com aceleração de 6 m/s². Determine a distância percorrida pelo móvel nessa variação.

Resolução:



Vamos usar a equação de Torricelli:




4 – A função horária das posições de um móvel em movimento é s = 4 – 3 t + 2 t 2, onde (s) é dado em metros e (t), em segundos. Pede-se sua posição no instante 4s.

Resolução:



 



5 – Um corpo tem velocidade que varia com o tempo segundo a função v = 4 + 3t (no SI). Complete a tabela: 

t(s)

0

     1

     2

    3

    4

    5

 

 

 

V(m/s)

 

 

 

 

   

   

 

 

 

 

 

       Resolução:








t(s)

0

     1

     2

    3

    4

    5

 

 

 

V(m/s)

      4

     7

    10

   13

   16

   19