quarta-feira, 19 de abril de 2017

Fontes de Energia

Posted: 21 Mar 2017 12:17 PM PDT
A energia é fruto da exploração de recursos naturais, podendo ser produzida em diversas formas, como a química, a mecânica e a térmica. Os ventos, por exemplo, podem movimentar moinhos devido à sua energia cinética; a radiação solar pode ser usada para a produção de energia térmica.
O petróleo, o gás natural, o carvão mineral, o urânio e os minerais energéticos são fontes de energia não renováveis. A água, a energia solar (retorna à superfície terrestre sob a forma de chuva), a biomassa, a energia eólica e a geotérmica são renováveis.
Analisando o consumo mundial, é nítido que os países desenvolvidos são os que mais utilizam energia. Este fato está vinculado ao forte desenvolvimento urbano, ao grande número de veículos, à utilização de máquinas e equipamentos e ao número de indústrias destes países.
Verifica-se, dentre as fontes mais utilizadas, uma dependência pelos combustíveis fósseis, no caso o petróleo, o carvão mineral e o gás natural. O uso indiscriminado de suas reservas, no entanto, apresenta sinais de esgotamento em médio prazo e prejudicam muito o equilíbrio ambiental.


Exemplos de Fontes Energéticas

Desde a Antiguidade Clássica até a Primeira Revolução Industrial, o carvão vegetal era a matéria-prima fundamental para a geração de energia térmica que alimentava as cidades e a produção artesanal ou manufatureira.
Após a Primeira Revolução Industrial, o carvão mineral passou a ter maior importância, com o desenvolvimento da máquina a vapor, fazendo com que as cidades se redistribuíssem para perto de suas áreas de ocorrência. No século XIX, a descoberta do petróleo e mais tarde da eletricidade revolucionou novamente o espaço geográfico.
Com o fim da Segunda Guerra, a fonte de energia termonuclear passou a ser utilizada em larga escala pelos países desenvolvidos, como os Estados Unidos, o Japão, a França e a Alemanha.
Dizemos que uma fonte de energia é alternativa quando foge dos meios tradicionais de produção de energia, geram menor grau de degradação do meio ambiente e são renováveis.
Atualmente, a necessidade de produzir energia que sustente a produção econômica e os danos ambientais decorrentes disso tem provocado uma corrida por novas fontes energéticas. Nos EUA, existe o maior centro de produção de energia solar; na Alemanha, já existem polos de energia eólica; na França, ocorre a produção de energia através do movimento das marés (maremotriz) e, no Brasil, há a produção de álcool a partir da cana-de-açúcar.
O post Revisão Geral Sobre Fontes de Energia Para o Enem apareceu primeiro no infoEnem.

domingo, 16 de abril de 2017

Lei da Gravitação Universal

A Lei da Gravitação Universal, formulada por Isaac Newton no século XVII, descreve a força de atração entre dois corpos massivos. Esse princípio é fundamental para entender a interação entre objetos celestes, como planetas e estrelas, além de explicar fenômenos do dia a dia, como a queda de objetos na Terra.

Equação Matemática:


Onde:
  • ( F ) é a força gravitacional entre dois corpos, medida em Newton (N),
  • ( G ) é a constante conhecida como constante de gravitacional universal (6,67.10-11 N  m2/Kg2),
  • (M ) e ( m ) são as massas dos corpos medidas em quilogramas (kg),
  • ( r ) é a distância entre os centros dos corpos, medida em metros (m). 

Conceitos Importantes:

Força Atrativa: A gravidade é sempre uma força de atração—dois corpos se atraem mutuamente, independentemente da distância ou tamanho.

Influência da Distância: Quanto maior a distância entre os corpos, menor será a força gravitacional entre eles, pois a força diminui com o quadrado da distância.

Aplicações: Essa lei é fundamental para explicar o movimento dos planetas, a formação de galáxias e o comportamento de satélites artificiais em órbita.

Exercícios

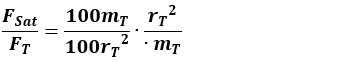
1 - (Fuvest) No sistema solar, o planeta Saturno tem massa cerca de 100 vezes maior do que a da Terra e descreve uma órbita, em torno do Sol, a uma distância média 10 vezes maior do que a distância média da Terra ao Sol (valores aproximados). A razão FSat /FT entre a força gravitacional com que o Sol atrai Saturno e a força gravitacional com que o Sol atrai a Terra é de aproximadamente:

a) 1000

b) 10

c) 1

d) 0,1

e) 0,001

Resolução:



Simplificando:


Fazendo:
e



Simplificando:

2 - (PUC) A intensidade da força gravitacional com que a Terra atrai a Lua é F. Se fossem duplicadas a massa da Terra e da Lua e se a distância que as separa fosse reduzida à metade, a nova força seria:

A) 16F

B) 8F

C) 4F

D) 2F

E) F

Resolução:

Primeiramente escrevemos a expressão da força gravitacional entre a Terra e a Lua por meio da fórmula da lei da gravitação universal:

Duplicando as massas e reduzir sua distância pela metade:

F' = 16F













quinta-feira, 13 de abril de 2017

Curvas Geradas por Equações

Posted: 19 Jul 2016 02:39 PM PDT
Curvas e equações estão sempre presentes em nossos estudos. É de fundamental importância que possamos entendê-los e utilizá-los em situações favoráveis. Hoje iremos estudar as curvas mais comuns em questões de de Matemática do Enem e vestibulares, que também são as mais frequentes. Vamos então apresentá-las e indicar onde devemos utilizá-las.
Começando pela equação mais simples: a reta. Uma reta é gerada através de uma equação do tipo:

 y = ax + b

Onde a e b podem assumir quaisquer valores. As retas são de manipulação extremamente fácil, além de serem as mais comuns. Podemos ter retas crescentes, decrescentes, ou até mesmo constantes, sendo esta um caso particular em que a = 0. As retas são as equações mais encontradas durante os exames, sendo utilizadas para representar movimentos, ou mesmo algum crescimento ordenado.
Sabemos que as retas são assuntos fundamentais na realização de provas e exames, e com o Enem não é diferente. Seu conhecimento é fundamental para se dar bem no exame e acertar algumas questões importantes. Por isso, hoje vamos apresentar em nosso artigo a equação de uma reta no plano.

























Esta reta qualquer r que desenhamos se trata de uma reta decrescente, como podemos observar. Todavia, caso não tivéssemos a presença do gráfico, essa observação não seria tão óbvia, sendo preciso observar o coeficiente angular da reta.
O coeficiente angular é um dos conceitos mais importantes que vamos aprender durante estes artigos. Através dele saberemos se a reta é crescente ou decrescente, além de sabermos qual inclinação em relação ao plano a reta apresenta. Na equação apresentada acima, o coeficiente angular é representado pelo termo que acompanha x, ou seja, a. No gráfico, determinamos o coeficiente angular através da tangente do ângulo que a reta faz com o plano, no nosso caso A. Para valores positivos do coeficiente angular a reta é crescente enquanto que para valores negativos a reta é decrescente.
Por fim, mas não menos importante temos o nosso coeficiente b. Este coeficiente representa o termo independente da equação, então podemos observar no gráfico que se trata do ponto em que a reta corta o eixo Y. Para os casos em que a reta passa pela origem do sistema de coordenadas, esse coeficiente é nulo.
A equação da reta é de fundamental importância para a resolução de exercícios simples, que podem garantir pontos importantes em seus exames. Portanto fique atento! Em breve estudaremos as posições relativas entre esses tipos de retas, bem como outros assuntos também importantes!
O post Matemática no Enem – Compreendendo a Equação da Reta apareceu primeiro no infoEnem.
Além das retas, temos também as parábolas. As parábolas são oriundas de equações do segundo grau, ou seja, provém de equações do tipo y = ax2 + bx + c. Uma parábola qualquer possui uma curva semelhante a curva abaixo, podendo apresentar variações em função dos sinais de seus coeficientes.
curva_funcao
As parábolas são normalmente encontradas em lançamentos oblíquos, como o caso de movimentos de projéteis, encontrados no movimento uniformemente variado.
Também vamos analisar mais dois tipos de equações: as exponenciais e as logarítmicas. As equações exponenciais são curvas assintóticas, ou seja, equações que não atingem um determinado valor. No seu caso, este valor é o 0, independente dos coeficientes de sua equação y = aebx.
curvas_funcao1
Podemos observar que a curva exponencial apresenta um crescimento pequeno em algumas regiões, seguidas de um abrupto aumento em um pequeno intervalo. É comum encontrarmos essas curvas ilustrando o crescimento de populações, como as de bactérias, ou para representar o decaimento radioativo de um material, que seria observado por uma curva que decai rapidamente.
A função logarítmica aparece como a inversa da função exponencial. Devemos apenas destacar que não são utilizados números negativos nesta função, devido as propriedades do logaritmo. Como se trata da função inversa a exponencial, esta função possui as mesmas aplicações, sendo apenas uma alternativa para a manipulação.
As equações merecem seu devido destaque visto que muitas vezes podemos perceber do que se trata o problema através de sua curva característica. Assim, já podemos imaginar qual solução se adequa mais ao tipo de curva utilizado durante o problema.

Enem 2014 – Questão 160 – Caderno Amarelo
No Brasil há várias operadoras e planos de telefonia celular.
Uma pessoa recebeu 5 propostas (A, B, C, D e E) de planos telefônicos. O valor mensal de cada plano está em função do tempo mensal das chamadas, conforme o gráfico.
funcao
Essa pessoa pretende gastar exatamente R$ 30,00 por mês com telefone.
Dos planos telefônicos apresentados, qual é o mais vantajoso, em tempo de chamada, para o gasto previsto para essa pessoa?
a) A
d) D
b) B
e) E
c) C

RESOLUÇÃO E COMENTÁRIOS
Alternativa C
A resolução desta questão provém totalmente da interpretação do gráfico. Nele, devemos observar a faixa onde o gasto mensal é R$ 30,00. Em outras palavras, observar a linha horizontal onde o valor no eixo y é 30. Daí, analisando esta faixa, devemos procurar qual das cinco retas cruza a linha horizontal mais à direita. Ela representará o maior tempo mensal de chamadas, em minutos, para o gasto previsto de R$ 30,00, ou seja, a proposta mais vantajosa.
Vamos ao gráfico:
funcao1
Analisando cada reta, vemos que das cinco, a única que não está na faixa dos R$ 30,00 é a reta B. A reta A, para um gasto de R$ 30,00 permite 20 minutos. A reta C, 30 minutos. Já a reta D não permite nenhum minuto e a reta E um pouco mais de 20 minutos, mas menos que 30.
Logo, dos planos apresentados, o mais vantajoso em tempo de chamadas para um gasto de R$ 30,00 é o plano C.
Comentário: O único conceito necessário para resolver a questão diz respeito à localização de pontos no plano cartesiano.
Conteúdos envolvidos: Interpretação de gráficos.
Como deve ter percebido, o enunciado acaba exigindo do candidato conhecimentos e boa interpretação de uma função afim. Entretanto, utiliza uma situação do cotidiano para elaborar a questão, como faz costumeiramente.

Sólidos Geométricos

Posted: 21 Jun 2016 08:30 AM PDT
Em nosso último artigo trouxemos a explicação sobre o cálculo de áreas e volumes de sólidos. Naquele artigo, você pode aprender a calcular áreas e volumes para cubos, paralelepípedos, esferas e cilindros, além de verificar algumas dicas sobre a abordagem dessas questões durante o Enem. Veja uma tabela resumindo o que vimos anteriormente:
solidos_formulas
Também discutimos que grande parte das questões envolvendo sólidos são resolvidas utilizando essas equações, bastando tomar cuidado com as particularidades do exercício e, como sempre, prestando atenção com as unidades do problema.
Para exemplificar isso, trazemos hoje uma questão do Enem 2015 do caderno de Matemática e Suas Tecnologias que foi resolvida e comentada pelos professores Luís Gustavo e Ana Luísa, graduados em Matemática pela UNICAMP e responsáveis pela resolução de todas as questões de Matemática do das Apostilas infoEnem 2016.
Questão 174 – Caderno Cinza – Enem 2015
Uma carga de 100 contêineres, idênticos ao modelo apresentado na Figura 1, deverá ser descarregada no porto de uma cidade. Para isso, uma área retangular de 10m por 32m foi cedida para o empilhamento desses contêineres (Figura 2).
questao175
De acordo com as normas desse porto, os contêineres deverão ser empilhados de forma a não sobrarem espaços nem ultrapassarem a área delimitada. Após o empilhamento total da carga e atendendo à norma do porto, a altura mínima a ser atingida por essa pilha de contêineres é:
a) 12,5 m.     b) 22,5 m.    c) 17,5 m.     d) 32,5 m.    e) 25,0 m.
RESOLUÇÃO E COMENTÁRIOS
Alternativa A
Uma vez entendida a situação problema, deve ser decidido, antes de qualquer coisa, a disposição dos contêineres que comporão a primeira pilha, atendendo à norma do porto. Mas só há uma maneira de fazê-lo, que é formar um arranjo de 4 X 5 contêineres, conforme a figura abaixo, que representa a vista superior da área onde deverá ser armazenados os contêineres:
resolucao_174
Com esta disposição, que é única de modo a atender a norma do porto, a primeira pilha terá 20 contêineres: 4 x 5 = 20 contêineres
Como devem ser empilhados, ao todo, cem contêineres para saber quantas pilhas serão formadas, basta dividirmos 100 por 20: 100 x 20 = 5 pilhas
E assim, após o empilhamento total da carga e atendendo à norma do porto, a altura mínima a ser atingida por essa pilha de contêineres será o produto entre o número de pilhas, que é , e
a altura de um contêiner, que é 2,5 m: 5 x 2,5m = 12,5 m
Comentário: A questão abordou apenas a competência e habilidade do (a) aluno (a) em entender uma situação problema que envolva as operações básicas, no caso a multiplicação e a divisão, podendo identificar o contêiner como um paralelepípedo e utilizando a sua área como recurso para a resolução do problema.
Conteúdos envolvidos: Operações básicas.
Como podemos perceber, a utilização de áreas e volumes de sólidos são um ótimo recurso para as questões que envolvem física, matemática e química no Enem.

quarta-feira, 12 de abril de 2017

Associação de resistores em série

Posted: 27 Mar 2017 11:42 AM PDT

Neste artigo vamos estudar um material muito importante em nosso dia a dia, que são os resistores, que fazem parte do conteúdo programático de Física para o Enem. Além de apresentá-lo e demonstrar sua aplicação no cotidiano, vamos também aprender sobre a sua associação em série, explicando o porquê de tal utilização.
Um resistor se trata de um dispositivo amplamente empregado na eletrônica, cuja finalidade pode ser limitar a corrente em um circuito elétrico, para que não danifique algum outro componente, e também para transformar energia elétrica em energia térmica através do efeito Joule.
Em um circuito elétrico, normalmente vamos encontrar dezenas de resistores associados, cada um com a sua determinada função. Como falamos anteriormente, essas associações podem ocorrer de diferentes maneiras, sendo que vamos estudar agora a sua associação em série.



Um circuito como o da figura apresenta três resistores, de resistências R1R2 e R3. Note que a corrente elétrica possui apenas um caminho para seguir durante o circuito, então ela será mantida a mesma em todo o trajeto, deste modo, através da Lei de Ohm teremos diferentes tensões em cada resistor, ou seja:
U1 = R1 x i
U2 = R2 x i
U3 = R3 x i

A soma das três tensões é igual a tensão dos terminais a que estão ligados. Com isso, podemos utilizar uma resistência equivalente para o sistema, que iremos demonstrar que corresponde a soma algébrica de todas as resistências do circuito.
U = Req x i
U = U1 + U2 + U3
U = R1 x i + R2 x i + R3 x i = Req x i
(R1 + R2 + R3) x i = Req x i
Req x i = R1 + R2 + R3


Um típico exemplo de resistores ligados em série pode ser encontrado em um “pisca-pisca”, utilizado em todos os natais. Ali, todas as pequenas lâmpadas são resistores associados em série. Por isso você já deve ter reparado que a medida que uma lâmpada queima, todas as outras param de funcionar. Isso acontece devido ao fato que a queima de uma lâmpada irá “abrir” o circuito, ou seja, vai interromper a passagem de corrente para as demais!
Em nosso próximo artigo vamos abordar outros dois tipos de associação de resistores, que são em paralelo e também a ligação mista. Portanto aguarde!

O post Física no Enem – Associação de Resistores em Série apareceu primeiro no infoEnem.

Associação de resistores em paralelo e mista

Posted: 03 Apr 2017 10:53 AM PDT
Em publicação anterior, estudamos sobre os resistores, sua importância, aplicação e sobre sua associação em série (confira aqui). Neste artigo vamos apresentar mais dois tipos diferentes de associação, que são as associações de resistores em paralelo e do tipo mista.

Associação de Resistores em Paralelo

É utilizada quando deseja-se obter a divisão da corrente, mantendo constante a mesma diferença de potencial. Com isso, a resistência equivalente do circuito será sempre menor que a menor resistência apresentada no circuito. Para o seguinte circuito, vamos utilizar a Lei de Ohm para determinar sua resistência equivalente:

Isolando para a corrente em cada resistor, temos:

Como a corrente é dividida em cada resistor, a corrente total do circuito será equivalente a soma das demais correntes:

Então:

Normalmente, durante os exercícios, encontramos resistores em paralelo associados aos pares. Para isso, podemos utilizar uma manipulação de nossa equação principal, de modo que teremos um valor direto para a resistência equivalente:

A associação em paralelo é amplamente utilizada em residências e em nosso cotidiano, pois consegue “corrigir” o defeito da associação em série. Deste modo, caso queime uma lâmpada de sua casa, as outras irão permanecer acesas!

Associações Mistas

Nada mais são do que uma combinação entre as associações em série e em paralelo! Podemos utilizá-la para obter uma combinação de propriedades desejadas e são muito encontradas em exercícios em vestibulares, pois conseguem abordar os dois conceitos de associação em uma única questão. Uma associação mista simples pode ser observada abaixo:

Para encontrar sua resistência equivalente não será utilizada nenhuma equação nova, vamos apenas utilizar as que já temos e passo a passo resolver o problema. Para este circuito, devemos encontrar uma resistência equivalente na parte associada em paralelo, para depois associá-la em série com a outra resistência do circuito.

Essa resistência equivale a associação entre os pontos A e B. Note que a resistência equivalente é menor que a menor resistência do circuito! Associando em série agora, temos:

E essa será a resistência final do circuito. Com isso terminamos nossa análise sobre associação de resistores. Com um pouco de prática você fixará este conteúdo e será capaz de resolver a maioria dos exercícios relacionados.
Bons estudos!
O post Estudando a Associação de Resistores em Paralelo e Mista apareceu primeiro no infoEnem.

terça-feira, 11 de abril de 2017

Classificação dos triângulos

 Os triângulos podem ser classificados de acordo com os seus lados e ângulos:

Classificação dos triângulos quanto aos lados

A classificação dos triângulos quanto aos lados é uma parte importante do estudo da geometria. Os triângulos podem ser classificados em três tipos principais com base no comprimento de seus lados:

  1. Triângulo Equilátero: Um triângulo equilátero tem todos os três lados com medidas iguais. Consequentemente, todos os seus ângulos internos também são iguais, cada um medindo 60 graus.
  2. Triângulo Isósceles: Um triângulo isósceles tem dois lados de medidas iguais. Os ângulos opostos a esses lados iguais também são iguais. O terceiro lado é diferente dos outros dois.
  3. Triângulo Escaleno: Um triângulo escaleno tem todos os lados com medidas diferentes. Consequentemente, todos os seus ângulos internos também são diferentes.

Aqui está uma tabela resumindo essas classificações:

Tipo de Triângulo

Lados Iguais

Ângulos Iguais

Equilátero

3

3 (60° cada)

Isósceles

2

2

Escaleno

0

0


          
A classificação dos triângulos quanto aos ângulos

A classificação dos triângulos quanto aos ângulos é uma maneira importante de identificar e diferenciar os triângulos com base na medida de seus ângulos internos. Existem três tipos principais de triângulos com base nos ângulos:

  1. Triângulo Acutângulo: Todos os ângulos internos são agudos, ou seja, cada ângulo é menor que 90 graus. Este é o tipo mais comum de triângulo.
  2. Triângulo Retângulo: Um dos ângulos internos é um ângulo reto, ou seja, mede exatamente 90 graus. Os triângulos retângulos são muito importantes na geometria, especialmente no teorema de Pitágoras.
  3. Triângulo Obtusângulo: Um dos ângulos internos é um ângulo obtuso, ou seja, mede mais que 90 graus. Os outros dois ângulos são agudos.

Aqui está uma tabela resumida para facilitar a visualização:

Tipo de Triângulo

Ângulos Internos

Acutângulo

Todos os ângulos agudos

Retângulo

Um ângulo reto (90°)

Obtusângulo

Um ângulo obtuso (> 90°)

          

Exercícios

1 - Classifique os triângulos abaixo em equilátero, isósceles ou escaleno.

          
Resolução:

 O triângulo “‘a” é escaleno, pois todos os lados têm medidas diferentes. O triângulo “b” é isósceles, pois dois lados têm a mesma medida. O triângulo “c” é equilátero, pois todos os lados têm a mesma medida.

2 - Determine os valores de x e y sabendo que o triângulo é equilátero.

          

Resolução:

 O triângulo ABC é equilátero, logo, todos os seus lados têm medidas iguais:

6x – 12 = 30               12y – 18 = 30

6x = 30 – 12               12y = 30 +18

6x = 18                        12y = 48

 x = 3                            y = 4

 Portanto: x = 3  e  y = 4.


3 - (Fuvest) Na figura a seguir, ABC é um triângulo isósceles e retângulo em A, e PQRS é um quadrado de lado

          

Então, a medida do lado AB é:

a) 1           b) 2           c) 3           d) 4           e) 5

Resolução:

• Os triângulos BPS e QCR também são retângulos isósceles. Logo, os segmentos BP e QC são iguais a SP e RQ, respectivamente. Consequentemente, os segmentos BP, PQ e QC possuem a mesma medida. Portanto, a medida do lado BC é igual a 3 vezes a medida do lado do quadrado, ou seja:

          

• Considerando os lados AB e AC iguais a x, e utilizando o teorema de Pitágoras:

          




quinta-feira, 6 de abril de 2017

Funcionamento de um termômetro

Posted: 14 Dec 2016 06:10 AM PST

Já foi falado no infoEnem sobre temperatura (clique aqui e veja o artigo) e também sobre escalas termométricas. Assim sendo, podemos entender o funcionamento de um dos instrumentos mais importantes no estudo da física e da química: o termômetro.
Entretanto, antes de entrarmos no funcionamento do termômetro propriamente dito, temos que entender o que são substâncias termométricas e grandezas termométricas. Vamos lá:
  • Substâncias termométricas – são aquelas que uma (ou mais!) de suas propriedades físicas se alteram, de maneira mensurável, com a temperatura.
  • Grandeza termométrica: é a propriedade da substância termométrica que se altera com a temperatura.
Um ótimo exemplo é o mercúrio, que é considerado uma substância termométrica, já que o seu volume varia de acordo com a temperatura. Neste caso, o volume é a grandeza termométrica do mercúrio.
Fácil, não é? E será justamente o mercúrio nossa “peça chave” para entender o funcionamento de um termômetro. Veja abaixo o esquema que mostra a construção de um termômetro de mercúrio:

termometro


Na extremidade da esquerda, há um pequeno reservatório (chamado bulbo), onde temos nossa maior quantidade da nossa substância termométrica (Hg). Já no interior da haste (tubo de vidro), temos um tubo muito estreito.(capilar), no qual o mercúrio se desloca da seguinte maneira:
  1. Quando a temperatura aumenta, o mercúrio se expande e, consequentemente, a coluna de mercúrio se desloca para a direita.
  2. De forma análoga, mas contrária, quando a temperatura diminui, o mercúrio se contrai e, consequentemente, a coluna de mercúrio se desloca para a esquerda.
Pronto, nosso termômetro está quase pronto, basta apenas escolher uma escala termométrica (clique aqui para relembrar o conteúdo sobre escalas termométricas) e calibrar o instrumento, utilizando dois pontos fixos e que não dependam da nossa sensação térmica (que, como já vimos, é enganosa). Os pontos fixos mais utilizados são os pontos de fusão e de ebulição da água, pois são situações fáceis de reproduzir em qualquer local e/ou laboratório.
Claro que hoje em dia existem muitos termômetros, como o de gás e o digital, estes bem mais modernos e precisos. Entretanto, suas construções, de uma forma ou de outra, acabam relacionando a variação de alguma grandeza termométrica de alguma substância com a calibração do instrumento conforme a escala termométrica escolhida.
O post Entenda tudo sobre o Funcionamento de um Termômetro apareceu primeiro no infoEnem.