segunda-feira, 21 de fevereiro de 2022

Número de diagonais de um polígono

A diagonal é um segmento de reta que se inicia em um vértice de um polígono e termina em outro vértice não consecutivo ao vértice inicial do mesmo polígono.

           Diagonal

Todo polígono com 4 ou mais lados possuem diagonais. Para calcular a quantidade de diagonais "d" de um polígono qualquer de “n” lados utilizamos a fórmula matemática:


Exemplos

1 - Qual o número de diagonais de um polígono com 15 lados?

Resolução:

d =?

n = 15 lados




d = 90 diagonais

2 - Qual o número de diagonais do decágono?

Resolução:

d =?

O decágono possui 10 lados

n = 10 lados
d = 35 diagonais.

3 - Qual é o polígono que possui o número de lados igual ao número de diagonais?

Resolução:
d = n
2 = n – 3
2 + 3 = n 
n = 5 lados
Resposta: O polígono que possui 5 lados é o pentágono.


4 - Em um polígono o número de diagonais é igual 
ao quádruplo do número de lados. Quantos lados e diagonais possui o polígono?

Resolução:
8 = n – 3  

8 + 3 = n

n = 11 lados
d = 4n = 4・11
d = 44 diagonais

Resposta: Esse polígono tem 11 lados e 44 diagonais. 

2  – Para calcular o número de diagonais de um polígono regular usamos a expressão:

           
Onde n é o número de lados desse polígono.
 Qual o número de diagonais de um hexágono regular (polígono de 6 lados)?

a. (    ) 9

b. (    ) 10

c. (    ) 11

d. (    ) 12 


sexta-feira, 18 de fevereiro de 2022

Exercícios com equação exponencial

1 - (G1 - CFTMG) A solução da equação exponencial abaixo é:

a) – 2             b) 0            c) – 1          d) 2

Resolução:


2 - Resolva a equação exponencial:

Resolução:
Fatorando os números 4 e 64:



3 - Resolva a equação:

Resolução:

4 - Qual é a solução da equação exponencial 
 ?

Resolução:


Fazendo:

Como:

Para y =  — 2

Não convém

Resposta: a solução é x = 1


5 - Qual é o valor de x na equação exponencial abaixo?

Resolução:




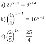
6 - Resolva as equações exponenciais abaixo:

Resolução:




7 - Resolva a equação exponencial:

Resolução:


8 - Qual é a solução da equação abaixo?

a) 3
b) 9
c) 27
d) 81

Resolução:

9 - Qual é a solução da equação exponencial
a) x = 0 ou x = 1
b) x = 1 ou x = − 1
c) x = 0 ou x = 3
d) x = 3 ou x = 4

Resolução:

Transformando:



Fazendo:



Como


Para y = 8



Para y = 1


Solução: x = 0 ou x = 3.

10 – Qual é o valor de “n” na expressão abaixo?
     

         

      Resolução:

Reordenando os números no numerador:

11 - Resolva a equação exponencial:


Resolução:




Logo: