quarta-feira, 22 de janeiro de 2025

Equações do 4º grau

A forma geral de uma equação do 4º grau é 𝑎x4 + 𝑏x3 + 𝑐x2 + 𝑑𝑥 + 𝑒 = 0, onde 𝑎 ≠ 0.

Resolução

Existem alguns métodos para a resolução de equações do 4º grau. Aqui vamos usar o método de aspa dupla.

O método de aspa dupla é um método de fatoração de polinômios, utilizado para polinômios de quarto grau. 

Para aplicar o método, deve-se: 

  1. Decompor o primeiro e o último termo do polinômio em dois fatores
  1. Formar uma aspa simples com os fatores obtidos
  1. Realizar os produtos indicados pelas aspas
  1. Subtrair o resultado obtido do terceiro termo do polinômio
  1. Utilizar o resultado da divisão para substituir o terceiro termo do polinômio
  1. Aplicar o método de aspa dupla com os três primeiros termos do novo polinômio
  1. Os fatores do polinômio original serão os elementos horizontais das aspas

 Exemplos: Resolver as equações do 4º grau, usando o método de aspa dupla.

x2 – 2x + 5 = 0

ou

x2 – 2x + 2 = 0

Para:

x2 – 2x + 5 = 0

a = 1,   b = – 2   e    c = 5

Para:

x2 – 2x + 2 = 0

a = 1,   b = – 2   e    c = 2

Solução:

2x2 – 5x – 3 = 0

ou

x2 + x – 2 = 0

Para:

2x2 – 5x – 3 = 0

a = 2,   b = – 5   e    c = – 3 

Para:

x2 + x – 2 = 0

a = 1,   b = 1   e    c = – 2

Solução:


x2 + 4x + 1 = 0

ou

 x2 + 3x + 1 = 0

Para:

x2 + 4x + 1 = 0

a = 1,   b = 4   e    c = 1


Para:

x2 + 3x + 1 = 0

a = 1,   b = 3   e    c = 1  

Solução:

Exercícios

1 - Resolva as equações do 4º grau completas: 
a) 6x4 + 5x3 + 14x2 + 6x + 5 = 0

Resolução:

3x2 + x + 5 = 0

ou

 2x2 + x + 1 = 0

Para:

3x2 + x + 5 = 0

a = 3,   b = 1   e    c = 5

Para:

2x2 + x + 1 = 0

a = 2,   b = 1   e    c = 1  


Solução:

b) 2x4 – 5x3 + 14x2 – 10x + 3 = 0

Resolução:


2x2 – 3x + 1 = 0

ou

 x2 – x + 3 = 0

Para:

2x2 – 3x + 1 = 0

a = 2, b = – 3  e  c = 1 

Para:

x2 – x + 3 = 0

a = 1, b = – 1  e  c = 3 

Solução:


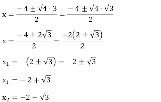
c) x4 – 6x3 + 14x2 – 16x + 8 = 0

Resolução:


 – x2 + 4x – 4 = 0

ou

– x2 + 2x – 2 = 0

Para:

 – x2 + 4x  – 4 = 0

a = – 1, b = 4  e  c = – 4


Para:

– x2 + 2x  – 2 = 0

a = – 1, b = 2  e  c = – 2



Solução:

2 - Resolva a equação do 4º grau completa 2x4 + x3 – 6x2 + x + 2 = 0.

Resolução:

Fazendo:


Substituindo em:


ou
ou

Solução:

3 - Resolva a equação do 4º grau incompleta x4 – 25x2 + 144 = 0.

Resolução:

Fatorando o número 144:





x + 3 = 0 ⇒ x = – 3
ou
x – 3 = 0 ⇒ x = 3
ou
x + 4 = 0 ⇒ x = – 4
ou
x – 4 = 0 ⇒ x = 4

Solução: {– 3, 3, – 4, 4}


Nenhum comentário:

Postar um comentário