quarta-feira, 4 de dezembro de 2024

Equações do 3º grau

As equações do 3º grau, também conhecidas como equações cúbicas, são polinômios de grau três e têm a forma geral:

        ax3 + bx2 + cx + d = 0

        Onde a, b, c e d são coeficientes reais (ou complexos), e a ≠ 0.

Conceitos e métodos importantes para o estudo das equações cúbicas:

  1. Forma Geral e Reduzida:
  • A forma geral de uma equação cúbica é a mencionada acima.
  • Pode-se transformá-la em uma forma reduzida (sem o termo quadrático) através de uma mudança de variável, simplificando a resolução.
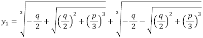
      2. Método de Cardano:
  • Girolamo Cardano desenvolveu um método para resolver equações cúbicas no século XVI. Esse método envolve uma série de substituições e manipulações algébricas que permitem expressar as raízes da equação em termos dos coeficientes.
          ax3 + bx2 + cx + d = 0

         Substituindo na equação:
         
         

          

          

           Dividindo toda equação por a:

                                 

         

           

  • Então, para a equação reduzida y3 + py + q = 0, as raízes podem ser encontradas utilizando a fórmula de Cardano, que envolve a solução de uma equação quadrática auxiliar.
          
          
  1. Discriminante:
  • O discriminante de uma equação cúbica fornece informações sobre a natureza das raízes da equação (reais e distintas, reais e coincidentes, ou complexas).
  • O discriminante Δ (delta) para uma equação cúbica ax3 + bx2 + cx + d = 0 pode ser calculado usando a fórmula:
         

      Interpretação do discriminante

  • Se Δ = 0, a equação tem uma raiz múltipla 
  • Se Δ > 0, a equação tem três raízes reais distintas 
  • Se Δ < 0, a equação tem um par de raízes complexas 
      4.     Raízes Reais e Complexas:
  • Uma equação cúbica sempre tem pelo menos uma raiz real, já que um polinômio de grau ímpar tem pelo menos uma interseção com o eixo x.
  • As outras duas raízes podem ser reais ou complexas, dependendo dos coeficientes e do discriminante.

            5.     Fatoração e Teorema do Resto:

  • Se uma raiz real r for conhecida, a equação cúbica pode ser fatorada como:
         a(x − r)(x2 + mx + n) = 0. 
  • O Teorema do Resto pode ser usado para encontrar raízes inteiras ou racionais, ajudando na fatoração e na simplificação da equação.

     6.     Relações de Girard

  • Soma das raízes: 

          

  • Produto das raízes:

        

  • Soma dos produtos das raízes dois a dois:

        

    Exemplos:

1 -  Resolver a equação x3 – 3x2 + 12x + 16 = 0.

Resolução:

a = 1 e b = – 3

x = y + 1

Substituindo x = y + 1 em:

x3 – 3x2 + 12x + 16 = 0

(y + 1)3 – 3(y + 1)2 +12(y + 1) + 16 = 0

y3 + 3y21 + 3y12 + 13 – 3(y2 +2y1 + 12) +12y + 12 + 16 = 0

y3 + 3y2 + 3y + 1 – 3y2 – 6y – 3 + 12y + 28 = 0

y3 + 9y + 26 = 0

p = 9 e q = 26

Substituindo p e q em:

Substituindo:  


y1 = 1 + (– 3) = 1 – 3

y1 = – 2

Substituindo y1 em:

x1 = y1 + 1

x1 = – 2 + 1

x1 = – 1

Usando o dispositivo prático de Briot-Ruffini para encontrar as demais raízes:

x3 – 3x2 +12x + 16 = 0

Coeficientes da equação: 1, – 3,  12 e 16

Raiz:  x1 = 1

– 11 + (– 3) = – 1 – 3 = – 4

– 1(– 4) + 12 = 4 + 12 = 16

– 116 + 16 =  – 16 + 16 = 0 

           Coeficientes       Resto
           do quociente

Q(x) = x2 – 4x + 16 e R(x) = 0

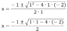
x2 – 4x + 16 = 0

Usando a fórmula de Bhaskara:

a = 1,    b = – 4    e    c = 16





Solução:

2 - Encontre a raiz real da equação de 3º grau x3 + 6x2  12x + 8 = 0.

Resolução:

• Fazendo:

a = 1   e   b = 6


x = y – 2

• Substituindo x = y – 2 na equação:

• Usando os produtos notáveis:

e

• Teremos:





• Fazendo p = – 24 e q = 48:

















• Como x = y – 2:



• Colocando – 2 em evidência:


Resolução por fatoração:

1 - Resolva a equação do 3º grau x3 + 3x2 – 6x – 18 = 0.

Resolução:

 x3 + 3x2 – 6x – 18 = 0

x2⋅(x + 3) – 6⋅(x + 3) = 0

(x + 3)⋅( x2 – 6) = 0

∴ x + 3 = 0  ⇾  x = – 3

ou

x– 6 = 0  ⇾  x2 = 6  


 Solução:

2 – Encontre as raízes da equação do 3º grau x3 + 2x2 – x – 2 = 0.

Resolução:

x3 + 2x2 – x – 2 = 0

x2(x + 2) – 1(x + 2) = 0

(x + 2)(x2 – 1) = 0

∴ x + 2 = 0     x = – 2

ou

x2 – 1 = 0     x2 = 1 


 Solução: {– 2, – 1, 1}

3 – Determine as raízes da equação do 3º grau x3 – 4x2 – 10 x + 40 = 0.

x3 – 4x2 – 10 x + 40 = 0

x2(x – 4) – 10(x – 4) = 0

(x – 4)(x2 – 10) = 0

∴ x – 4 = 0     x = 4

ou

x2 – 10 = 0   x2 = 10 


 Solução:

4 – Resolva em IR a equação do 3º grau 2x3 + 3x2 – 18x – 27 = 0.

Resolução:

2x3 + 3x2 – 18x – 27 = 0

 Reorganizando a equação:

2x3 – 18x + 3x– 27 = 0

 Fatorando:

2x(x– 9) +3(x– 9) = 0

(x– 9)(2x – 3) = 0


 Solução:

5 – Quais são os valores de x que resolve a equação x3 – 36x = 0?

a) 6, – 6

b) 0, 6, – 6

c) 0, 6

d) 1, 2, 3

e) –1, 1

Resolução:

x(x2 – 36) = 0

∴  x = 0

ou

x2 – 36 = 0  ⇾  x2 = 36 

 Solução: {0, 6, – 6}  

6 – Encontre as raízes da equação do 3º grau x3 + x2 – 12 = 0.

Resolução:

x3 + x2 – 12 = 0

x3 + x2 – 8 –  4 = 0

x3 + x2 – 222 –  22 = 0

x3 + x2 – 23 – 22 = 0 

x3 – 23 + x2 – 22 = 0

 Fatorando: diferença de dois cubos e diferença de dois quadrados:


 Substituindo em:

x3 – 23 + x2 – 22 = 0

(x – 2)⋅( x2 + 2x + 4)+ (x+2)⋅(x – 2) = 0

 Colocando (x – 2) em evidência:

(x – 2)⋅( x2 + 2x + 4)+ (x + 2)⋅(x – 2) = 0

(x – 2)⋅[( x2 + 2x + 4) + (x + 2)] = 0

(x – 2)[( x2 + 2x + 4)+ (x + 2)] = 0

(x – 2)⋅( x2 + 2x + 4 + x + 2) = 0

(x – 2)⋅( x2 + 3x + 6) = 0

∴ x – 2 = 0      x = 2

ou

x2 + 3x + 6 = 0

 Usando a fórmula de Bhaskara:



 Fazendo:

Solução:


 Resolva a equação do 3º grau x3 – 3x + 2 = 0.

Resolução:

x3 – 3x + 2 = 0

 Escrevendo – 3x = – x – 2x:

x3 – x – 2x + 2 = 0

x(x2 –1) –  2(x – 1) = 0

 Usando o produto notável:


x
(x + 1)(x –1) –  2(x – 1) = 0

 Colocando x – 1 em evidência:

(x – 1)[x(x + 1) – 2] = 0

(x – 1)⋅(x2 + x – 2) = 0

∴ x – 1 = 0     x = 1

ou

x2 + x – 2 = 0

 Usando a fórmula de Bhaskara:




 Solução: {1, – 2}

8 – Resolva a equação 7x +72x +73x = 14, com x ∈ IR.

Resolução:

7x +72x +73x = 14

7x +(7x)2 +(7x)3 = 14

 Fazendo 7x = z:

z + z2 + z3 = 14

z + z2 + z3 – 14 = 0

 Fazendo 14 = 2 + 4 + 8 = 2 +22 + 23:

z + z2 + z3 – (2 + 4 + 8) = 0

z – 2 + z2 – 4 + z3 – 8 = 0

z – 2 + z2 – 22 + z3 – 23 = 0

(z – 2) + (z2 – 22) + (z3 – 23) = 0

 Usando as fatorações de polinômios:


e

(z – 2) + (z + 2)⋅(z – 2) + (z – 2)(z2 +z2 + 22) = 0

1⋅(z – 2) + (z + 2)⋅ (z – 2) + (z – 2)⋅(z2 + 2z + 4) = 0

 Colocando z – 2 em evidência:

(z – 2)⋅[1+ (z + 2) + (z2 + 2z + 4)] = 0

(z – 2)⋅(1+ z + 2 + z2 + 2z + 4) = 0

(z – 2)⋅( z2 + 3z + 7) = 0

z – 2 = 0  ⇒ z = 2

e

z2 + 3z + 7 = 0

 Usando a fórmula de Bhaskara:


 Como z1 e z2 são números complexos, vamos usar apenas z = 2 real:

 Aplicando logaritmo nos dois membros da equação:

log 7x = log 2

x⋅log 7 = log 2

 Usando a expressão de mudança de base:


• Logo:


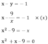
9 – Resolva a equação abaixo, para x > 0:


Resolução:



• Fazendo:



• Usando a fatoração de polinômios:

e





• Fazendo x – y = t:





• Calculando o valor do discriminante da equação de 2° grau:


Δ<0 (Não convém)

• Substituindo t = – 1 em (4):



• Usando a fórmula de Bhaskara:





• Como x< 0, (Não convém).

• Solução:


10 – Calcule o valor de “n” na equação:

Resolução:

• Trocando as ordens dos expoentes:

• Substituindo 3n por m:


• Usando as regras de fatoração:

e

• Teremos:


• Colocando (m – 3) em evidência:





• Como:

• Calculando logaritmo nos dois membros da equação:


• Usando a propriedade:

• Dividindo os dois membros da equação por log 3:


• Usando a propriedade:

• Solução:


11 – Resolva a equação de 3º grau:

Resolução:


• Trocando as ordens dos expoentes: 


• Substituindo 3x por m:

• Usando as regras de fatoração:
e

• Teremos:


• Colocando (m – 5) em evidência:



ou




• Como:


• Calculando logaritmo nos dois membros da equação:

• Usando a propriedade:


• Dividindo os dois membros da equação por log 3:

• Usando a propriedade:



• Calculando logaritmo nos dois membros da equação:

• Usando a propriedade:


• Dividindo os dois membros da equação por log 3:

• Usando a propriedade:

• Solução:

12 –  Resolva a equação 2x + 23x  = 10.

Resolução:

2x + 23x  = 10

2x + (2x)3  = 10

• Fazendo 2x = y:

y + y3 = 10

y + y3 – (2 + 8) = 0

y + y3 – 2 – 8 = 0

y – 2 + y3 – 8 = 0

y – 2 + y3 – 2⋅22 = 0

(y – 2) + (y3 – 23) = 0

y3 – 23 = (y – 2)⋅( y2 + y2 + 22)

             = (y – 2)( y2 + 2y + 4)

• Substituindo em:

(y – 2) + (y3 – 23) = 0

(y – 2) + (y – 2)( y2 + 2y + 4) = 0

(y – 2).1 + (y – 2)( y2 + 2y + 4) = 0

• Colocando (y – 2) em evidência:

(y – 2)[1 + ( y2 + 2y + 4)] = 0

(y – 2)[1 +  y2 + 2y + 4] = 0

(y – 2)( y2 + 2y + 5) = 0

∴ y – 2 = 0    y = 2

ou

y2 + 2y + 5 = 0

• Usando a fórmula de Bhaskara:




• Como 2x = y  e  y = 2:

2x = 2      2x = 21  ∴ x = 1

• Como 2x = y:

• Aplicado o logaritmo aos dois membros da equação:


• Aplicando a propriedade:


• Dividindo por log 2 a equação:


• Aplicando a propriedade:


• Solução:

13 
– Na equação 2x3 – 6x2 – kx + 3k = 0, k é uma constante. Para qual dos valores de k existem três soluções inteiras diferentes para essa equação?

a) 0

b) 1

c) 4

d) 8

Resolução:

2x3 – 6x2 – kx + 3k = 0

Fatorando a equação:

2x(x – 3) – k (x – 3) = 0

(x – 3)  (2x2 – k) = 0

x – 3 = 0    ou    2x2 – k = 0

x = 3                  2x2 = k 

Para k = 0:


Para k = 1:

Para k = 4:


Para k = 8:

Resposta: k = 8


Nenhum comentário:

Postar um comentário