segunda-feira, 14 de outubro de 2024

Fatorial

A multiplicação de número por todos os seus antecessores até chegar ao número 1, é chamado de Fatorial.

2⋅1

3⋅2⋅1

4⋅3⋅2⋅1

5⋅4⋅3⋅2⋅1

6⋅5⋅4⋅3⋅2⋅1

7⋅6⋅5⋅4⋅3⋅2⋅1

8⋅7⋅6⋅5⋅4⋅3⋅2⋅1

9⋅8⋅7⋅6⋅5⋅4⋅3⋅2⋅1

10⋅9⋅8⋅7⋅6⋅5⋅4⋅3⋅2⋅1

O Fatorial de um número natural inteiro positivo é representado por n! 

n! = n⋅(n − 1)⋅(n − 2)⋅ ... ⋅3⋅2⋅1

A notação n! foi introduzida pelo matemático francês Christian Kramp em 1808, nascido em Estrasburgo, Reino da França, em 13 de maio de 1826. 

2! = 2⋅1 = 2

3! = 3⋅2⋅1 = 6

4! = 4⋅3⋅2⋅1 = 24 

5! = 5⋅4⋅3⋅2⋅1 = 120

6! = 6⋅5⋅4⋅3⋅2⋅1 = 720

7! = 7⋅6⋅5⋅4⋅3⋅2⋅1 =  5040

8! = 8⋅7⋅6⋅5⋅4⋅3⋅2⋅1 = 40320

9! = 9⋅8⋅7⋅6⋅5⋅4⋅3⋅2⋅1 = 362880

10! = 10⋅9⋅8⋅7⋅6⋅5⋅4⋅3⋅2⋅1 = 3628800

Por definição, temos:

0! = 1

1! = 1

Exercícios

1 − Resolva a expressão − 2² + 4!

a) 0         b) 28         c) − 20         d) 20

Resolução:

− 2² + 4! = − 2⋅2 + 4⋅3⋅2⋅1

= − 4 + 12⋅2

= − 4 + 24

= 20

2 −  Simplifique as frações:


Resolução:



3 − (FEI-SP) Se (n + 4)! + (n + 3)! = 15(n + 2)!, então:

a) n = 4     b) n = 3     c) n = 2     d) n = 1     e)  n = 0

Resolução:

(n + 4)(n + 3)(n + 2)! + (n + 3)(n + 2)! = 15(n + 2)!


(n + 4)(n + 3) + (n + 3) = 15

nn + n3 + 4n + 43 + n + 3= 15

 + 3n + 4n + 12 + n + 3 = 15

 + 8n + 15 − 15 = 0

 + 8= 0

n(n + 8) = 0

n = 0

ou 

n + 8 = 0  ⇒ n = − 8 (não convém)

Solução: n = 0

4 Quanto é 80 - 100:2?
a) 0          b) 1          c) 3          d) 5!          e) 5#
Resolução:
80 – 100:2 = 80 – 50 = 30
5! = 5⋅4⋅3⋅2⋅1 = 120
5# = 5⋅3⋅2 = 30
Resposta: Letra E

5 − Qual é o valor da expressão 30 – 10:2 – 1?
a) 24!          b) 4!          c) 8!          d) 9

Resolução:
30 – 10:2 – 1
= 30 – 5 – 1
= 25 – 1 = 24
Como 4! = 4⋅3⋅2⋅1 = 24

Resposta Letra B


6 O valor de
é:
a) 1          b) 52          c) 2 916          d) 53 921

Resolução:


Colocando 53! em evidência:

7 − Simplifique a expressão:

Resolução:

8  − Simplifique a expressão abaixo:

Resolução:

9 − (PUC-RS) Se      

então n é igual a:
a) n = 13     b) n = 11    c) n = 9     d) n = 8     e)  n = 6
Resolução:

Colocando (n −1)! em evidência no denominador:
n =  9 (não convém)
Solução: n = 9

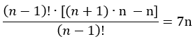
10 - (Unitau-SP) Sendo n ≠ 0, o(s) valor(es) de n, tal que

é (são):

a) 7.           b) 0 e 7.           c) 0 e 10.         d) 1.           e) 0 e 2.
Resolução:


Colocando (n  1)! em evidência:




Colocando “n” em evidência:

ou
 – 7 = 0   ⇒    n = 7

Resposta: Letra A.

11 − Resolva a seguinte equação:

a) n = 5     b) n = 6     c) n = 7     d) n = 8     e)  n = 9

Resolução:


 n = − 7 (não convém)

 Solução: n = 8

12 − Encontre o valor de "n" na equação (n!)2 – 25n! + 24 = 0.

Resolução:

(n!)² – 25n! + 24 = 0.

Fazendo n! = x

x2 – 25x + 24 = 0


Como n! = x

n! = 24 = 4⋅32 = 4321 = 4!

n! = 4!     ⇒    n = 4

n! = 1 = 1!    

n! = 1!    ⇒    n = 1

Solução: n = 1   ou   n = 4

13 − Se 

então:

a) n = 2     b) n = 12    c) n = 5     d) n = 7     e)  n = 10

Resolução:

Colocando n! em evidência no denominador:



n = − 9  (Não convém)

Solução: n = 5

14 – Resolva e equação:

Resolução:

Usando a fórmula resolutiva:

a = 1,    b = 1    e    c = − 6

n2 negativo não convém.

Solução: n = 2 

15 − Resolva a equação fatorial:
Resolução:



 Vamos fazer x2 + 9x + 19 = t




ou

 Para t = – 41

x2 + 9x + 19 = t

x2 + 9x + 19 = – 41    

x2 + 9x + 19 + 41 = 0  

x2 + 9x + 60 = 0  

 Usando a fórmula de Bhaskara:

          Solução não real

Para t = 41:
x2 + 9x + 19 = t

x2 + 9x + 19 = 41    

x2 + 9x + 19 – 41 = 0  

x2 + 9x – 22 = 0   

 Usando a fórmula de Bhaskara para a equação:

• Verificação:

Para x = – 11 

Fatorial negativo não serve!

 Para x = 2



      Verdadeira!
• Solução: x = 2

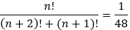
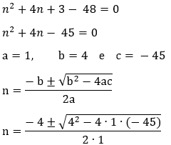
16 − Resolva a equação fatorial:

Resolução:

Colocando (n + 1)n! em evidência:



Multiplicando cruzado:

(n + 1)(n + 3) = 48

n2 + 3n + n + 3 = 48

n2 + 4n + 3 48 = 0

n2 + 4n – 45 = 0

Usando a fórmula resolutiva:

a =1,     b = 4     e    c = – 45



Como n2 é negativo, não convém.

Solução: n = 5


Nenhum comentário:

Postar um comentário