quinta-feira, 12 de setembro de 2024

Derivada

A derivada de uma função descreve a taxa de variação instantânea da função em um certo ponto. Outra interpretação comum é que a derivada nos dá a inclinação da reta tangente ao gráfico da função em um ponto.


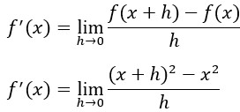
Definição de derivada de uma função f(x):


Derivadas de funções elementares:





Exercícios:

1 - Calcule a derivada das seguintes funções:


Resolução:










2 - Calcular a derivada de f(x) = x2, usando a definição.

Resolução:


 
3 - Calcular a derivada da função f(x) = sen(x), usando a definição.

Resolução:

Lembrando que:

Colocando Sen(x) em evidência:

Separando em dois limites:

Multiplicando a primeira parte do limite, o numerador e o denominador, pelo fator racionalizante:

Usando o produto da soma pela diferença:


Usando identidade de Pitágoras:



Lembrando que:


Substituindo esse valor em:


Nenhum comentário:

Postar um comentário