Páginas

segunda-feira, 20 de janeiro de 2025

Campo Elétrico

Um campo elétrico é uma região ao redor de uma carga elétrica onde uma força elétrica é exercida sobre outras cargas elétricas. Este campo é criado por cargas elétricas que geram uma força de atração ou repulsão em outras cargas dentro do campo, dependendo da polaridade das cargas envolvidas.

Conceitos Fundamentais:

  • Carga Elétrica (Q): Propriedade intrínseca de partículas que resulta em forças eletrostáticas quando em presença de outras cargas. Unidade: Coulombs (C).
  • Força Elétrica (F): A força que uma carga elétrica exerce sobre outra. Lei de Coulomb descreve essa força como sendo diretamente proporcional ao produto das cargas e inversamente proporcional ao quadrado da distância entre elas.
  • Campo Elétrico (E): Definido como a força elétrica por unidade de carga. Em termos matemáticos, é expresso como E = F/q, onde F é a força sobre uma carga de teste q.

Características do Campo Elétrico:

  1. Linha de Campo Elétrico: linhas imaginárias que representam a direção do campo elétrico. São desenhadas saindo de cargas positivas e entrando em cargas negativas.
  2. Intensidade do Campo Elétrico: A magnitude do campo elétrico em um ponto. Para uma carga pontual, a intensidade do campo elétrico E é dada por:
                 
          onde:
  • E é a intensidade do campo elétrico.
  • k é a constante eletrostática (k ≅ 8,99 ⋅109 N m2 / C2).
  • Q é a carga fonte.
  • r é a distância da carga fonte ao ponto de interesse.
  1. Superfícies Equipotenciais: Superfícies onde a potencialidade elétrica é constante. Não há trabalho feito ao mover uma carga ao longo de uma superfície equipotencial.

Exercícios

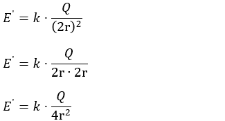
1 - (UnP) O módulo do vetor campo elétrico produzido por uma carga elétrica puntiforme em um ponto P é igual a E. Dobrando-se a distância entre a carga e o ponto P, por meio do afastamento da carga, nesse caso o módulo do vetor campo elétrico nesse ponto fica:


Resolução:



Resposta: Letra B

2 - (Uece) Precipitador eletrostático é um equipamento que pode ser utilizado para remoção de pequenas partículas presentes nos gases de exaustão em chaminés industriais. O princípio básico de funcionamento do equipamento é a ionização dessas partículas, seguida de remoção pelo uso de um campo elétrico na região de passagem delas. Suponha que uma delas tenha massa m, adquira uma carga de valor q e fique submetida a um campo elétrico de módulo E. A força elétrica sobre essa partícula é dada por:

a) m⋅q⋅E

b) m⋅E/Q⋅b

c) q/E

d) q⋅E

Resolução:

Resposta: Letra D

3 - (Mackenzie) Uma carga elétrica puntiforme com q = 4,0 μC, que é colocada em um ponto P do vácuo, fica sujeita a uma força elétrica de intensidade 1,2 N. O campo elétrico nesse ponto P tem intensidade:

a) 3,0∙105 N/C

b) 2,4∙105 N/C

c) 1,2∙105 N/C

d) 4,0∙105 N/C

e) 4,8∙105 N/C

Resolução:
E = ?

μ = 10 – 6

q = 4,0 μC = 4,0 ⋅10 – 6 C

F = 1,2 N


Resposta: Letra A

4 – (UERJ 2019/2) Na ilustração, estão representados os pontos I, II, III e IV em um campo elétrico uniforme.

                    

Uma partícula de massa desprezível e carga positiva adquire a maior energia potencial elétrica possível se for colocada no ponto:

a)    I      b) II      c) III      d) IV

Resolução: 

                    

A energia potencial é máxima onde o potencial for máximo.

Ep = q⋅V

O potencial decresce com a linha de força do campo elétrico. Então, o potencial máximo e também a energia potencial máxima acontece no ponto I.

Resposta: Letra A

5 - (PUCCAMP SP/2018) No interior das válvulas que comandavam os tubos dos antigos televisores, os elétrons eram acelerados por um campo elétrico. Suponha que um desses campos, uniforme e de intensidade 4,0´ 102 N/C, acelerasse um elétron durante um percurso de 5,0´ 10–4 m. Sabendo que o módulo da carga elétrica do elétron é 1,6´ 10–19 C, a energia adquirida pelo elétron nesse deslocamento era de

a) 2,0´ 10–25 J.

b) 3,2´ 10–20 J.

c) 8,0´ 10–19 J.

d) 1,6´ 10–17 J.

e) 1,3´ 10–13 J.          

Resolução:

d = 5,0´ 10–4 m

q = e = 1,6´ 10–19 C


E = 4,0´ 102 N/C




Resposta: Letra B


6 - (UECE/2018) Seja o sistema composto por duas cargas elétricas mantidas fixas a uma distância “d” e cujas massas são desprezíveis. A energia potencial do sistema é

a) inversamente proporcional a 1/d2.

b) proporcional a d2.

c) proporcional a 1/d.

d) proporcional a d.   

Resolução:

Portanto, a energia potencial é inversamente proporcional a “d”, ou seja, é proporcional a 1/d.    

Resposta: Letra C

Nenhum comentário:

Postar um comentário